對于WM-DF任務,每次試驗開始時固定500毫秒。然后,在固定的左右兩側分別呈現兩個項目,持續1000 ms。在500 ms空白后,在注視的一側呈現一個提示,持續500 ms。在4000毫秒的空白之后,搜索數組將呈現長達5000毫秒的時間,并在受試者按鍵后消失。在1000毫秒的空白之后,進行記憶測試,并在2000毫秒進行反應(圖1)。正式實驗包括240個試次(每種情況40個試次)。每組60個試次后,受試者進行短暫休息(2分鐘)。

在記憶測試中,受試者被要求通過按鍵盤上的“Z”或“M”來反應所呈現的項目是否與TBR項目相同。記憶測試只測試TBR(有意TBR和替代TBR)項的記憶。
4、TMS刺激方案
使用經顱磁刺激儀(M-100 Ultimate,深圳英智科技有限公司,中國深圳)的八字形線圈(BY-90A)進行10Hz的高頻刺激,刺激強度設置為110%的靜息運動閾值(RMT)。
線圈的位置根據國際10-20 EEG系統確定,其中F4為右側DLPFC的位置,F7為左側VLPFC刺激的位置,Cz代表頂點,由于頂點刺激對正在進行的任務相關過程的影響最小,因此本研究中用作控制條件。
經顱磁刺激分別作用在左腹外側前額葉皮層(VLPFC)、右背外側前額葉皮層(DLPFC)和頂點區。利用SimNIBS軟件對模擬電場進行了圖示(圖1)。一共進行了33次刺激,每次持續3秒,每次刺激間隔20s,在12.2 min內的脈沖總數為990次。
5、數據分析
對于視覺搜索任務,分別以搜索類型(有意TBR匹配、被動TBR匹配、替代TBR匹配、主動TBR匹配、IR不匹配和IF不匹配)和刺激位置組(右DLPFC、左VLPFC和頂點)作為被試間因素對搜索精度和logRT進行重復測量方差分析。不同項目類型的ACE是通過從匹配試驗中減去不匹配試驗的logRT來計算的。
對于ACE,以項目類型(有意TBR、被動TBF、替代TBR和主動TBF)作為被試內變量,以組為被試間變量,進行重復測量方差分析。
三、研究結果
1、視覺搜索任務的結果
對于檢索精度,方差分析顯示實驗類型是主要影響因素。兩兩比較顯示:
(1)與替代TBR匹配和主動TBR匹配實驗相比,IF不匹配的準確性更高。
(2)被動TBF匹配試驗的準確性高于非IR匹配試驗;在有意TBR匹配試驗和IR非匹配試驗之間沒有發現準確性差異。各組主效應和實驗類型與組間交互作用均不顯著。
簡單效應分析顯示:
(1)三組中,與IR不匹配的試驗(即有意TBR項目的ACE)相比,有意TBR匹配的logRT更長。
(2)在左側VLPFC組中,被動TBF匹配組的logRT(即被動TBF項目的ACE)比IR不匹配組更長,而在頂點組和右側DLPFC組中則沒有。
(3)與IF不匹配試驗相比,三組替代TBR匹配和主動TBF匹配實驗(即替代TBR和主動TBF項目的ACE)的logRT均較長。(表1)
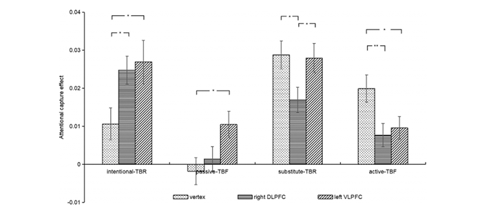
ACE項目類型與組交互作用顯著。簡單效應分析結果表明:
(1)三組TBR(有意TBR和替代TBR)項目的ACE均大于TBF(被動TBF和主動TBF)項目;
(2)頂點組替代TBR的ACE大于有意TBR項目,而右DLPFC組和左VLPFC組的ACE均大于有意TBR項目;頂點組主動TBF的ACE大于被動TBF,但右DLPFC組和左VLPFC組的ACE均大于被動TBF ;
(3)對于有意TBR,與頂點組相比,右側DLPFC 和左側VLPFC的ACE均增加。右側DLPFC組與左側VLPFC組間無差異;
(4)對于替代TBR,左側VLPFC組和頂點組的ACE均大于右側DLPFC組和頂點組。左側VLPFC與頂點組間無差異;
(5)對于被動TBF,左側VLPFC與頂點組相比ACE值較大,但與右側DLPFC組相比ACE值較小,右側DLPFC與頂點組之間無差異;
(6)與頂點組相比,右側DLPFC組和左側VLPFC組的ACE均有所降低。右側DLPFC組和左側VLPFC組間無顯著差異(圖2)。

表1 不同組中不同搜索類型的平均搜索RT

四、研究結論
除了右側DLPFC和頂點組的被動TBF項目外,所有項目類型的反應時都比干擾物匹配實驗(即ACE)更長。這些記憶項目作為搜索數組中的干擾物捕獲了受試者的注意力,表明這些項目被保存在工作記憶中。更重要的是,與 TBF 項目相比,TBR 項目在所有組中都表現出更高的 ACE 值,這表明 TBR 項目在記憶痕跡方面優于 TBF 項目(即 DF 效應)。這些發現表明,受試者能夠根據線索成功地操縱工作記憶中存儲的信息。
刺激右DLPFC或左VLPFC能夠促進主動遺忘。右側DLPFC的激活可能會改善主動忘記(TBF)項目的直接抑制,從而促進在涉及明確記憶線索的條件下對要記?。═BR)項目的選擇性重復。左側VLPFC的激活可以改善思維替代過程,在與明確遺忘提示有關的條件下增強對TBR項目的記憶和對TBF項目的記憶抑制。遺忘是一個主動的過程,可以通過非侵入性的大腦刺激來調節。