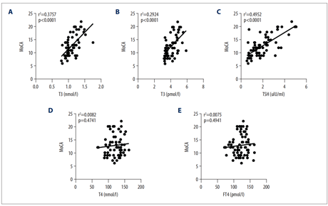
rTMS modulates thyroid hormones level and cognition in the recovery stage of stroke.
The prominent delayed effect of rTMS makes it potential in clinical practice for social pain relief.
Tel:+86-755-26475399 Email:sales@yingchitech.com
@2024 Shenzhen Yingchi Technology Co., Ltd. All rights reserved.
YINGCHI Technology
Quote
Email
Whatsapp
Contact Us